首页

海洋学院教师在国际知名期刊IEEE TWC连续发表高水平论文

作者:张羽 部门审稿人:杨奕飞 单位:新闻网 发布时间:2023-12-22 点击量:492

近日,海洋学院教师练柱先在国际电气与电子工程师协会旗下的Top期刊IEEE Transactions on Wireless Communication(影响因子:10.4)连续发表了题目为“A Novel Geometry-Based 3-D Wideband Channel Model and Capacity Analysis for IRS-Assisted UAV Communication Systems”和“A Novel Beam Channel Model and Capacity Analysis for UAV-enabled Millimeter-Wave Communication Systems”的研究论文。

image.png

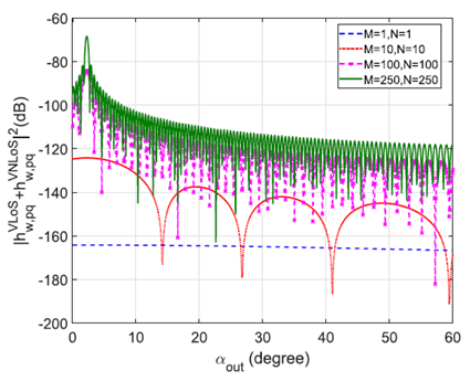
智能反射面由大量低功耗的幅度、相位和频率可调的被动反射单元组成,通过改变反射单元的幅度、相位和频率,可以把收发端之间的传播链路转变为智能可控的无线传播环境。针对智能反射面的优势,该论文把智能反射面引入无人机通信系统,研究了智能反射面辅助的无人机通信系统信道模型。所提模型联合考虑了智能反射单元的孔径面积和辐射模式,每个智能反射单元被模拟为“异常”反射体,大规模的反射单元可以在期望的方向上对信号进行波束赋形。分析结果显示了通过增加智能反射单元的数目和尺寸,智能反射面辅助的通信系统的性能增益可以得到明显的加强。其研究工作可以为智能反射面辅助的无人机通信系统的性能设计提供理论依据。

image.png

image.png

论文链接:https://ieeexplore.ieee.org/document/10016300

image.png

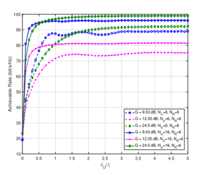
毫米波频段是指频率范围在30 GHz到300 GHz之间的电磁波,毫米波通信是解决严重的频谱短缺问题的一种潜在方案。毫米波通信具有严重的路径损耗,论文使用定向天线阵列代替大规模天线阵列来对抗严重的传播路径损耗,并提出了一种新颖的基于高定向天线的毫米波MIMO波束信道模型。所提模型考虑了毫米波信道的稀疏性、毫米波天线阵列的指向性增益以及发射和接收天线单元之间的相关性,研究了所提信道模型的可达速率和可达速率上界。研究发现,定向天线阵列可以减小由无人机和接收机运动引起的多普勒频移;使用具有高指向性增益的定向天线阵列的毫米波通信系统可以获得与使用全向大规模天线阵列的毫米波通信系统相当的性能增益。此外,该论文利用詹森不等式得到了可达速率的一种紧上界,并采用理论和仿真结果验证了所提上界是一种紧上界。

image.png

image.png

论文链接:https://ieeexplore.ieee.org/document/10246150 

练柱先博士长期从事5G/6G通信系统建模、设计和优化等方面的科研和教学工作,近年来专注于MIMO通信系统的信道建模和优化设计,尤其关注无人机辅助的、基于智能反射面的、包含超大规模天线阵列的5G与6G通信系统的随机信道建模、预编码和波束赋形设计。主持了国家自然科学基金青年科学基金项目一项,以第一作者和通讯作者分别在IEEE Transactions on Wireless Communications、IEEE Internet of Things Journal、IEEE Transactions on Vehicular Technology、IEEE Wireless Communications Letters、IEEE Communications Letters等期刊发表高水平SCI论文15篇。

学校要闻